尊龙凯时


    帕拉米韦注射液说明书
    • 通用名称
      帕拉米韦注射液
    • 商品名

      朗好

    • 规格
      15ml:0.15g(按 C15H28N4O4计)
    • 包装
      中硼硅玻璃安瓿,4 支/盒。
    • 批准文号

      国药准字H20244152

    • 适应症
      用于治疗甲型或乙型流行性感冒。
    • 说明书
    本品为处方药 ,请在医生指导下购买和使用。本网站资料仅供医学药学人士阅读,不可作为个人用药和处方依据。
    药品详情
    临床文献
    药品名称
    通用名称:帕拉米韦注射液
    英文名称:Peramivir Injection
    汉语拼音 :Palamiwei Zhusheye
    成份
    本品活性成份为帕拉米韦。
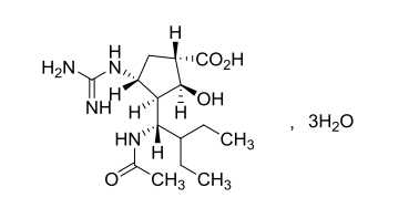
    化学名称:(1S,2S,3R,4R)-3-[(1S)-1-乙酰氨基-2-乙基丁基]-4-胍基-2-羟基环戊烷-1-羧酸三水合物
    化学结构式 :
    分子式:C15H28N4O4·3H2O
    分子量:382.45
    辅料:氯化钠、氢氧化钠、盐酸、注射用水。
    性状
    本品为无色的澄明液体。
    适应症
    用于治疗甲型或乙型流行性感冒。
    规格
    15ml∶0.15g(按 C15H28N4O4计)
    用法用量
    成人:常用剂量为每次帕拉米韦 300mg,经 15 分钟以上单次静脉滴注。
    对于因合并症等病情可能会加重的患者,剂量为每日一次 600mg 并经 15 分钟以上单次
    静脉滴注,根据症状可连续多日重复给药。此外,根据年龄及症状可酌情减量。
    儿童:常用剂量为每日一次帕拉米韦 10mg/kg,经 15 分钟以上单次静脉滴注,根据症
    状可连续多日重复给药。每次剂量不得超过 600mg。
    用法用量方面的使用注意事项:
    1.出现症状后,最好尽快使用本品开始治疗 。对于出现症状超过 48 小时后才开始治疗
    的患者,尚未获得证明本品有效性的数据。
    2.根据体温等临床症状判断需要继续用药的情况下才可以重复给药 ,不可盲目地持续治
    疗。此外,3 日以上重复给药的应用经验有限。
    3.肾功能损害患者:应根据肾功能降低的程度,按下表所示相应地调整剂量 。本品重复
    给药时,也应按下表调整剂量
    表 1 肾功能损害患者剂量调整
     
    Ccr:肌酐清除率
    ※ :对于肌酐清除率低于 l0ml/分的患者以及透析患者,应谨慎地调整剂量 。帕拉米韦可经
    血液透析迅速从血浆中清除。
    不良反应
    根据国外文献报道的不良反应:
    严重不良反应
    1.休克 、过敏性反应(发生频率未知)
    症状可见血压过低、面色苍白、出冷汗 、呼吸困难、荨麻疹等。
    2.白细胞减少 、中性粒细胞减少(1~ <5%)
    3.急性肝炎、肝功能损害 、黄疸(发生频率未知)
    在治疗早期(给药次日)可见伴有 AST 、ALT 、γ-GTP 、A1-P 显著升高的肝功能损害 、
    黄疸。
    4.急性肾损害(发生频率未知)
    5.精神神经症状(意识障碍、谵妄 、幻觉、妄想、痉挛等) 、异常行为(发生频率未知)。
    尽管因果关系不明,但是感染流感时 ,可能会出现导致跌倒等的异常行为(急速走路,步履
    蹒跚等) 。
    6.肺炎(发生频率未知)
    7.中毒性表皮坏死松解症(TEN) 、史蒂文斯-约翰孙综合征(Stevens-Johnson 综合征)
    (发生频率未知)
    8.血小板减少(发生频率未知)
    9.出血性结肠炎(发生频率未知)
    10.其他不良反应
    表 2 不良反应发生情况
    禁 忌
    对本品成分有过敏史的患者不得用药 。
    注意事项
    1.本品治疗时,应谨慎考虑本品的必要性。
    鉴于并非所有甲型或乙型流感病毒感染患者都必须使用抗病毒药物,在本品治疗
    时应仔细观察患者的状态 ,并谨慎考虑本品治疗的必要性。
    鉴于本品为静脉滴注制剂,应充分考虑口服制剂和吸入剂等其他抗流感病毒药物
    是否可用,并研究本品治疗的必要性。
    注意流感病毒的耐药性信息,研究使用本品治疗是否适当。
    本品对丙型流感病毒感染没有疗效。
    本品对细菌感染没有疗效。
    2.不论是否使用或使用何种类的抗流感病毒药,在感染流感时均报告有出现异常行为的
    症例。
    作为因异常行为引起跌倒等意外事故的预防措施,应向患者及家属说明:
    有出现异常行为的风险,
    在自家养病时,至少应在发烧后两天期间向护理人员等讲解防止跌倒等事故的措
    施。
    此外,可导致跌倒等意外事故的严重异常行为大多报告于入学后的儿童 、未成年男性等,
    并且多发生在发烧后的两天期间。
    3.细菌感染症合并流感病毒感染时,可能会与流感样症状相混淆。对于细菌感染症以及
    疑似为细菌感染症时,需要给予抗菌剂等进行适当处置。
    4.因在治疗早期(如给药次日)即可出现肝功能损害、黄疸 ,因此在给药后应立即密切
    监测患者的状态,如进行肝功能检查 。
    5.因可能出现休克及过敏性反应 ,在给药期间应在能够进行紧急治疗的状态下密切监测
    患者的状况。此外 ,即使在给药结束后也可出现休克 、过敏性反应,因此应予以注意。
    6.辅料成分(氯化钠 、注射用水)可引起钠负荷及循环血液容量增加 ,可能会造成心脏
    负担,对于心脏、循环系统功能障碍的患者症状可能会加重。
    7.对于肾功能损害患者,应根据肌酐清除率值相应地调整剂量 ,监测患者的状况并谨慎
    用药 。本品为经肾排泄的药物,因此血药浓度可能会持续较高 。此外,辅料成分(氯化钠、
    注射用水)容易造成水分、氯化钠过量,进而症状可能会加重。
    【孕妇及哺乳期妇女用药】
    对孕妇或可能怀孕的女性用药时,仅可在经判断后认为治疗效益大于风险时才能用药 。
    大鼠实验中报告本品可透过大鼠胎盘 ,家兔实验中报告有流产和早产。
    对哺乳期母亲 ,应权衡治疗及母乳喂养的必要性,考虑继续或中止哺乳 。据报告,本品
    可向大鼠乳汁中分泌 。
    孕妇及哺乳期妇女用药
    对孕妇或可能怀孕的女性用药时,仅可在经判断后认为治疗效益大于风险时才能用药。
    大鼠实验中报告本品可透过大鼠胎盘,家兔实验中报告有流产和早产。
    对哺乳期母亲,应权衡治疗及母乳喂养的必要性,考虑继续或中止哺乳。据报告,本品
    可向大鼠乳汁中分泌。
    儿童用药
    尚未开展低体重出生儿、新生儿、肾功能损害儿童等人群的临床试验 。
    老年用药
    在给药时应监测患者的状况。通常来说,大多数老年人的生理功能下降 。
    药物相互作用
    帕拉米韦对主要的人类肝细胞色素 P450(CYP)酶 CYP1A2、2A6、2C9、2C19、2D6、
    2E1 及 3A4 未显示出抑制作用,对 CYP1A2 、2A6、2C9 、2D6 及 3A4 未显示出诱导作用 。
    此外,帕拉米韦不是 P-糖蛋白的底物 ,对 P-糖蛋白介导的药物转运也未显示出抑制作用(体
    外试验)。
    药物过量
    据报告,本品经血液透析可迅速从血浆中清除 。
    临床药理
    血药浓度
    对健康成人男性受试者每组 6 例单次静脉滴注 l00mg、200mg、400mg、800mg
    注 1,血
    浆药物浓度变化如图 1 所示,单次/重复静脉滴注时的药代动力学参数如表 3 和表 4 所示 。
    Cmax及 AUC 均呈剂量比例关系增加 ,帕拉米韦迅速被清除 ,平均滞留时间(MRT)约 3 小
    时。相比单次给药,重复给药时的药代动力学几乎没有变化,未见蓄积性。
    图 1 单次给药时的血浆药物浓度(健康成人)
    表 3 单次给药药代动力学参数
    表 4.重复给药药代动力学参数
    ※1 :全身清除率
    ※2:稳态分布容积
    ※3:稳态给药间期(24 小时)的 AUC
    (测定法:LC/MS/MS)(平均值±标准差)
    分布
    人体组织分布
    对健康成人男性受试者每组 6 例单次静脉滴注 l00mg、200mg、400mg、800mg 注 1,上
    呼吸道分泌液(咽喉分泌液及鼻腔分泌液)中的药物浓度随剂量相应增加 。研究发现,相
    比于血浆 ,有 3~9%(基于 AUC)分布到上呼吸道分泌液中 。此外 ,400mg 剂量给药时,
    咽喉分泌液及鼻腔分泌液中的峰浓度分别为 930 及 1210ng/ml 。
    大鼠组织分布
    对大鼠单次静脉给药[ 14C]-帕拉米韦 24mg/kg,所有组织中的放射性浓度均在给药后 5
    分钟达到峰浓度 。此外 ,研究发现本品在作用部位肺及气管中分布良好 ,主排泄器官肾脏
    中观察到有较高的分布。所有组织中的放射性浓度在给药后 48 小时以内降低至定量限之
    下 ,这表明组织蓄积性及残留性很低。此外 ,本品的脑内分布极低。
    蛋白结合率
    在 1~100 μg/ml 的浓度范围内 ,人血清蛋白结合率(超滤法)为 0.3~1.8%(体外试
    验)。
    代谢
    对健康成人男性受试者 6 例单次静脉滴注 400mg,血浆及尿中未检出代谢物,仅检测
    到原型药物 。
    排泄
    对健康成人男性受试者每组 6 例单次静脉滴注 l00mg、200mg、400mg、800mg 注 1,给
    药后 48 小时内的尿排泄率(平均值)为 86.3~95.4%,6 日重复给药时相对总剂量的尿中排
    泄率(平均值)为 77.2~92.6% 。
    特殊人群
    肾功能损害者
    使用从日本人健康成人及流感患者以及国外健康成人 、肾功能损害者及健康老年人的
    临床试验中获得的 332 例受试者及 3199 个血浆药物浓度数据点,进行了群体药代动力学分
    析。在帕拉米韦药代动力学(CL)的影响因子中 ,肾功能损害(Ccr)对药代动力学的影
    响较大 ,必须根据 Ccr 相应地调整剂量。
    各肾功能损害者组中 ,剂量调整时(相当于 300mg)的血浆药物浓度曲线如图 2。此
    外,各肾功能损害者组中剂量调整时的 Cmax及 AUC 如表 5 所示。
                                        图 2 肾功能损害者组中剂量调整时(相当于 300 mg)的血浆药物浓度曲线
                                                     表 5 肾功能损害者组中剂量调整时的 Cmax及 AUC※
     
    ※:中位值(90%预测范围) ,使用基于群体药代动力学分析软件 NONMEM®的药代动力
    学参数的曲线结果
     对 22 例受试者(包括肾功能损害者)单次静脉滴注 2mg/kg 注 2 ,血浆药物浓度如图 3
    所示,药代动力学参数如表 6 所示 。随着肾功能下降 ,帕拉米韦从血浆中清除延迟,
    AUC 增大(国外人的数据)。
    图 3 单次给药时的血浆药物浓度(肾功能损害者)
    表 6 包括肾功能损害患者的药代动力学参数
    对血液透析患者 6 例单次静脉滴注 2mg/kg 注 2,血浆药物浓度如图 4 所示。从滴注 2
    小时后开始进行 4 小时血液透析,血浆药物浓度约降低 1/4(国外人的数据) 。
    图 4 单次给药时的血浆药物浓度(血液透析患者)
    儿科患者
    对儿科患者 115 例(4 个月~15 岁)单次静脉滴注 10mg/kg(体重 60kg 以上的剂量为
    600mg),滴注结束后 4 小时内的血浆药物浓度(185 个数据点)如图 5 所示。此外,使用
    能测出血浆药物浓度的所有 297 个数据点进行了群体药代动力学分析,所得的药代动力学
    参数如表 7 所示。
    图 5 单次给药时的血浆药物浓度(儿科患者)
    表 7 儿科患者药代动力学参数※
    NONMEM®的药代动力学参数的贝叶斯(Bayesian)估计值
    老年人
    对健康老年受试者(65 岁以上)20 例、健康非老年受试者 6 例单次静脉滴注 4mg/kg 注
    2  ,药代动力学参数如表 8 所示 。老年受试者的 AUC 约为非老年受试者的 1.3 倍 ,但 Cmax
    相近 (国外人的数据)。
    表 8 老年人和非老年人药代动力学参数对比
    注 1:本品已批准的成人最大用量为 600mg。
    注 2:与本品已批准的成人用法用量不同。
    药理毒理
    药理作用
    作用机制
    帕拉米韦是环戊烷类抗流感病毒药物 ,可结合于流感病毒神经氨酸酶的活性位点,对人
    类A型和B型流感病毒有抑制活性。生化分析显示帕拉米韦能抑制几种A型和B型流感病毒株
    的神经氨酸酶活性,对A型流感病毒株的中位IC50值为0.2nM(0.09~1.4nM,n=15) ,对于B
    型流感病毒株的中位IC50值为1.32nM(0.60~11nM,n=8),对于2009H1N1A型流感病毒株(猪
    流感)的IC50值范围为0.06~0.26nM 。
    抗病毒活性
    在细胞培养试验中考察了帕拉米韦对实验室株和临床分离株的抗病毒活性。对季节性A
    型H1N1流感株的EC50值为1μM(0.09~21μM,n=5),对A型H3N2流感株的EC50值为0.07μM
    (<0.01~0.16μM,n=12),对B型H3N2流感株的EC50值为2.2μM(0.06~3.2μM,n=5) 。细胞
    培养中的抗病毒活性、神经氨酸酶抑制活性和人体中一直流感病毒复制之间的关系尚未建
    立。有限的生化分析、细胞培养和动物模型数据显示帕拉米韦和奥司他韦的抗病毒活性有协
    同作用。尚无数据显示帕拉米韦与扎那米韦有协同作用。在鼠流感A型病毒感染模型中,帕
    拉米韦与奥司他韦联合用药显示抗病毒活性增强 ,但其临床意义尚不清楚。
    耐药性
    尚无帕拉米韦耐药性的临床数据。细胞培养研究中发现 ,帕拉米韦耐药株流感病毒
    A/WSN/33(H1N1)的特征是H275Y基团。表达奥司他韦耐药相关性H275Y基团的A型H1N1临
    床分离株亦显示对帕拉米韦耐药。已经在使用奥司他韦的患者的2009 H1N1中发现了H275Y
    基团。至2009年9月5日,治疗和未治疗患者临床分离株的耐药率<1% 。帕拉米韦的耐药途径
    尚未完全明确。
    交叉耐药性
    在流感病毒神经氨酸酶抑制剂中已发现了交叉耐药性。在一项神经氨酸酶分析中,奥司
    他韦耐药基团E119V(A/H3N2)、D198N(B) 、H275Y(A/H1N1)和R292K(H2N2)分别使对帕拉米
    韦的敏感性下降了1、4.8、100和80倍 ;扎那米韦耐药基团E119V(H4N2)、E119D(H4N2)、
    E119G(H4N2)和R152K(B)分别使对帕拉米韦的敏感性下降了1 、33、2和400倍。生化分析中
    对帕拉米韦抑制作用的敏感性与临床有效性之间的关系尚未建立。
    毒理研究
    遗传毒性
    帕拉米韦在鼠伤寒沙门菌和大肠杆菌菌的细菌回复突变结果为阴性。帕拉米韦浓度
    ≤3280μg/mL时CHO染色体畸变试验结果为阴性。帕拉米韦≤360mg/kg剂量单次静脉给药时,
    未见雌雄小鼠骨髓嗜多染红细胞显著性增加及明显骨髓细胞增殖抑制。
    生殖毒性
    大鼠和家兔生育力及发育研究中均未见致畸作用。与人静脉注射600mg剂量下的系统暴
    露量(AUC=90μg·h/ml)相比 ,大鼠和家兔静脉给药帕拉米韦的暴露量分别为人的8.4倍和1.5
    倍。妊娠家兔静脉给予帕拉米韦200mg/kg,可导致严重的母体毒性(剂量限制性肾病),以
    及与母体毒性相关的流产率增加和胚胎毒性。家兔被认为是敏感动物,在非妊娠家兔的一般
    毒性研究中亦发现了肾脏毒性。与人静脉注射600mg剂量下的AUC(90μg·h/ml)相比,非妊
    娠家兔肾脏毒性的安全范围小于1 。在妊娠大鼠中,帕拉米韦剂量达600mg/kg未导致明显的
    母体毒性或胚胎毒性。
    大鼠在妊娠第6至17天(GD6至17),经静脉连续输注帕拉米韦24h,剂量为50 、400、
    1000mg/kg/天 ,每日1次 。与帕拉米韦有关的主要毒性反应为胎仔肾乳头缩小、输尿管扩张
    和巨输尿管症 。
    致癌性
    尚未开展帕拉米韦的动物长期致癌性研究 。
    贮藏
    密闭,不超过 30℃保存 。
    包装
    中硼硅玻璃安瓿,4 支/盒。
    有效期
    24个月
    执行标准
    YBH12722024
    批准文号

    国药准字H20244152

    上市许可持有人
    名称:尊龙凯时药业(湖北)有限公司
    注册地址:湖北省黄石市下陆区大泉路 120 号
    生产企业
    企业名称:尊龙凯时药业(湖北)有限公司
    生产地址:湖北省黄石市下陆区大泉路 120 号
    邮政编码 :435003
    电话号码:0714-6354581 ,6350072

    XML地图