尊龙凯时


    丁溴东莨菪碱注射液
    • 通用名称

      丁溴东莨菪碱注射液

    • 规格

      20mg

    • 包装

      西林瓶,10瓶/盒

    • 产品概述

       阿托品、东莨菪碱、氢溴酸东莨菪碱;

      654-2的升级换代品种

      获得大量国内外临床指南推荐

      独家原研进口原料生产

      国家医保

    • 说明书
    本品为处方药,请在医生指导下购买和使用。本网站资料仅供医学药学人士阅读,不可作为个人用药和处方依据 。
    药品详情
    临床文献
    药品名称

    通用名:注射用丁溴东莨菪碱

    商品名:甘美多兰

    英文名 :Scopolamine Butylbromide lnjection

    汉语拼音:Dingxiu Donglangdangjian Zhusheye

    成份

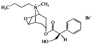
    本品主要成份为丁溴东莨菪碱,化学名称为:6β,7β-环氧-3α-羟基-8-丁基-1αH ,5αH-托烷(一)-托品酸酯。

    化学结构式 :

    分子式 :C21H30BrNO4

    分子量 :440.38

    性状

    本品为无色的澄明液体 。

    适应症

    1.用于胃、十二指肠 、结肠内窥镜检查的术前准备,内镜逆行胰胆管造影,和胃、十二指肠、结肠的气钡低张造影或腹部CT扫描的术前准备,可减少或抑制胃肠道蠕动;

    2.用于各种病因引起的胃肠道痉挛、胆绞痛 、肾绞痛或胃肠道蠕动亢进等。

    规格

    1ml:20mg

    用法用量

    肌肉注射、静脉注射或溶于5%葡萄糖注射液、氯化钠注射液静脉滴注。成人每次10~20mg,或一次用10mg,间隔20~30分钟后再用10mg 。

    不良反应

    可出现口渴、视力调节障碍、嗜睡、心悸 、面部潮红 、恶心、呕吐 、眩晕、头痛等反应。

    禁忌

    1.严重心脏病、器质性幽门狭窄或麻痹性肠梗阻患者禁用;

    2.青光眼、前列腺肥大患者慎用。

    注意事项

    1.本品应用出现过敏反应时应停药;

    2.对于血压偏低者应用本品时,应注意防止产生体位性低血压;

    3.皮下或肌注时要注意避开神经与血管,如需反复注射应不在同一部位,宜左右交替注射;

    4.禁与碱、碘及鞣酸配伍。

    孕妇及哺乳期妇女用药

    未进行该项实验且无可靠参考文献。

    儿童用药

    婴幼儿 、小儿慎用 。

    老年用药

    老年人用药前应除外心脏病和前列腺肥大等病史。

    药物相互作用

    1.与其他抗胆碱能药、吩噻嗪类等药物合用时会增加毒性;

    2.可拮抗甲氧氯普胺 、多潘立酮等的促胃肠动力作用;

    3.某些抗心律失常药(如奎尼丁、丙吡胺等)与本品合用要谨慎 ,因前者具有阻滞迷走神经作用 ,故能增强本品的抗胆碱能效应 ,导致口干、视力模糊、排尿困难 ,老年人尤当注意;

    4.本品与拟肾上腺素能药物合用,可增强止吐作用 ,减少本品的嗜睡作用,但口干更显著;

    5.与三环类抗抑郁药(阿米替林等)合用时,两者均具有抗胆碱能效应,口干、便秘、视力模糊等副作用加剧 ,可使老年患者发生尿潴留,诱发急性青光眼及麻痹性肠梗阻等,故而禁止这两种药物合用;

    6.本品分别与地高辛 、呋喃妥因 、维生素B2等合用时,会明显增加后者的吸收;

    7.应用本品或其他抗胆碱能药物期间,舌下含化硝酸甘油预防或治疗心绞痛时 ,因唾液减少使后者崩解减慢,从而影响其吸收 ,作用有可能推迟及(或)减弱。

    药物过量

    如过量可引起谵妄、激动不安甚至惊厥、呼吸衰竭乃至死亡,可用拟胆碱药和其他对症处理进行抢救 。

    药理毒理

    本品为M胆碱受体阻滞药。其外周作用与阿托品相似,仅在作用程度上略有不同 :本品对平滑肌解痉作用较阿托品为强,能选择性地缓解胃肠道、胆道及泌尿道平滑肌痉挛和抑制其蠕动 ,亦可用于解除血管平滑肌痉挛及改善微循环;其对心脏、眼平滑肌(散瞳及调节麻痹)和唾液腺等腺体分泌的抑制作用较阿托品弱 。其中枢作用主要有:对呼吸中枢具有兴奋作用;抗眩晕及抗震颤麻痹作用较阿托品强;但对中枢神经系统具有显著的镇静作用,应用较大剂量后多可产生催眠作用。因此,应用本品很少出现类似阿托品引起的中枢神经兴奋 、扩瞳、抑制唾液分泌等副反应。

    药代动力学

    本品静脉注射后2~4分钟,皮下或肌肉注射8~10分钟产生药效 ,时间约2~6小时。本品主要随粪便排出,静脉用药后有一部分自尿中排出。

    贮藏

    遮光,密闭保存。

    包装

    安瓿瓶,2支/盒;5支/盒

    有效期

    24个月。

    执行标准

    《中国药典》 2020年版二部

    批准文号

    国药准字H20044277

    生产企业

    企业名称:山东益健药业有限公司

    生产地址 :济宁高新区黄屯镇第七工业园A区

    邮政编码 :272104

    联系电话:0537-5665669

    传真号码:0537-5665668


    XML地图